Родники Сурского района Ульяновская область
Святой источник
    Вход Регистрация
Специалист по обустройству родников, святых источников

Родники Сурского района

Автор: Плаксин Олег
Опубликовано: 18 мая 2020 г. 21:51, посмотрело: 1373
Ульяновская область » Сурский район

Родники Сурского района
   Автор: Плаксин Олег   Дата: 20 мая 2020 г.

Самые крупные родники Сурского района Ульяновской области, которые служат для забора воды в водоразливные колонки, находятся в селах Астрадамовка, Никитино, Кезьмино, Ружеевщино, Лава, Сара и других. Эти водоносные горизонты залегают близко к поверхности и являются наиболее пресными.

Родник д. Александрия
Родник у с. Астрадамовка
Родник «Горный» с. Астрадамовка
Родники в овраге Крутой у с. Астрадамовка
Родник с. Архангельское
«Емелин родник» с. Барышская Слобода
Родник «Пятница» с. Барышская Слобода
Святой источник Сергия Радонежского с. Белый ключ
Родник с. Белый ключ
Родник «Студеный» с. Большой Кувай
Святой источник Тихвинской иконы Божией Матери (родник «Таёжный», «Святой ключ») у с. Большой Кувай
Святой источник «Трехглавый» у с. Большой Кувай
Родник с. Болтаевка
Родник «Степана Разина» на улице Абрамовка с. Выползово
Родник «Городецкий» д. Городец
Родник «Винокурня» с. Гулюшево
Святой источник Казанской иконы Божией Матери у с. Ждамирово
Святой источник иконы Божией Матери «Всех Скорбящих Радость» с. Ждамирово
Родник «Брыкин колодец» у с. Засарье 54.614674, 46.734053
Родник «Назимовский» д. Красная Якла
Родник с. Кезьмино
Родник у с. Кезьмино В двух километрах к северо-востоку от Кезьминского замка в овраге, который носит название «Соснов овраг» находится родник. По преданию у этого родника останавливались остатки разбитого на реке Кандаратке разинского войска. Родник очень мощный, напоминает горный родник. Вода в роднике необычайно вкусная и свежая. 54.464768, 47.257011
Родник «Золотой ключ» с. Кивать
Родник с. Княжуха
Родник «Шибанов ключ» с. Лава
«Власов родник» с. Малый Барышок
Родник в конце улице Криуши с. Никитино
Родник «Барский колодец» в овраге Дальний у с. Полянки 54.550443, 46.760982
Родник улица Новая с. Ружеевщино
Родник Спасителя (Христа Спасителя) с. Ружеевщино
Родник Космы и Дамиана с. Ружеевщино
Родник с. Сара
«Княжий родник» в овраге, у с. Сара 54.664417, 46.727391
Родник «Щелкан» п. Сурское 54.479893, 46.712698
Родник п. Сурское (на фото) 54.489898, 46.735047
Святой источник святителя Николая Чудотворца п. Сурское
Святой источник Казанской иконы Божией Матери у п. Сурское
Святой источник великомученика Георгия Победоносца, родник «Серебряный» у п. Сурское
Святой источник святителя Николая Чудотворца у п. Сурское
Родник «Комиссарский», «Синий» с. Студенец
Родник «Поварьма колодец» улица Мира с. Хмелёвка
Родник п. Центральная усадьба совхоза «Сурский»
Родник с. Черненово
Родники с. Чирково. Раньше было много родников, в настоящее время осталось три, один из которых считается святым, он обустроен. В прежние времена у родника проходили богослужения, особенно когда летом не было дождей.
Родник «Гремячий» п. Элита

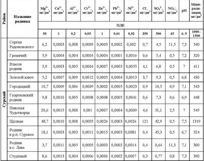
Исследованные родники

Родники Сурского района
   Автор: Плаксин Олег   Дата: 19 мая 2020 г.

Состав воды

Родники Сурского района
   Автор: Плаксин Олег   Дата: 19 мая 2020 г.


Родники Сурского района
   Автор: Плаксин Олег   Дата: 19 мая 2020 г.

Примечание. Выделенные данные обозначают превышение норматива; * – величина безопасного уровня воздействия.





Основан в 2008 году